400-003-8066

羞羞APP大全案例分析

您所在的位置: 首頁 > 資訊頻道 > 設計規範 > 劇場成人羞羞国产视频 > 室內混響時間測量規範 GB/T50076-2013

室內混響時間測量規範 GB/T50076-2013

來源:ZOBO羞羞APP大全 發布日期 2023-04-27 瀏覽:

  因篇幅有限請到資料下載   下載完整文件。

  還可以了解更多關於會議室解決方案、產品和案例 等信息。

  還可以了解更多關於在线免费观看羞羞视频場館解決方案、產品和案例 等信息。

  還可以了解更多關於劇場成人羞羞国产视频解決方案、產品和案例 等信息。

還可以了解更多關於學校教育   解決方案、產品和案例   等信息。



1 總 則

1.0.1 為了測量廳堂及各類房間的室內混響時間,製定本規範。

1.0.2 本規範適用於語言、演出或音樂用房間,需要吸聲降噪的房間,以及有特殊音質要求的居住類建築的房間的混響時間的測量。本規範不適用於聲學實驗室等特殊房間的混響時間的測量。本規範不適用於房間三維尺度中最大尺寸與最小尺寸之比大於5的特殊室內空間和任一維度尺寸小於測量頻率半波長的房間的混響時間的測量。

1.0.3 室內混響時間的測量,除應符合本規範外,尚應符合國家現行有關標準的規定。

.

2 術語和符號


2.1 術 語

2.1.1 衰變曲線 decay curve
    聲源發聲待室內聲場達到穩態後,聲源中斷發聲,室內某點聲壓級隨時間衰變的曲線,可使用中斷聲源法或脈衝響應積分法測得。

2.1.2 混響時間 reverberation time
    室內聲音已達到穩態後停止聲源,平均聲能密度自原始值衰變到其百萬分之一(60dB)所需要的時間,單位:s。可通過衰變過程的(-5~-25)dB或(-5~-35)dB取值範圍作線性外推來獲得聲壓級衰變60dB的混響時間,分別記作T20和T30。

2.1.3 中斷聲源法 interrupted noise method
    激勵房間的窄帶噪聲或粉紅噪聲聲源中斷發聲後,直接記錄聲壓級的衰變來獲取衰變曲線的方法。

2.1.4 脈衝響應 impulse response
    房間內某一點發出的狄拉克(Dirac)函數脈衝聲在另一點形成的聲壓瞬時狀況。

2.1.5 脈衝響應積分法 integrated impulse response method
    通過把脈衝響應的平方對時間反向積分來獲取衰變曲線的方法。

2.1.6 空場 unoccupied state
    講演者、演員和觀眾均不在場的房間情況。

2.1.7 排演 studio state
    語言或音樂用房內無觀眾,隻有演員、講演者和少量觀摩人員在場的情況,為正式演出而進行的練習表演。

2.1.8 滿場 occupied state
    觀眾上座率達80%~100%時,處於正常表演或正常使用的情況。

2.2 符 號

    dmin——傳聲器距聲源最小距離,m;
    V——房間容積,m³;
    c——聲速,m/s;
    T——估計的混響時間,s;
    p——脈衝響應聲壓;
    T1——脈衝響應聲壓級曲線高於背景噪聲基線15dB處的時刻;
    t1——背景噪聲基線和脈衝響應聲壓級衰變曲線交點處的時刻;
    C——去除噪聲幹擾的真實脈衝響應平方值從無窮大到t1的積分。

.

3 測量係統


3.1 室內環境

3.1.1 作為室內音質評價或聲學施工驗收而進行測量時,房間應處於正常使用條件下,主要設施應就位。
    成人羞羞国产视频類大型廳堂,舞台和觀眾廳之間存在防火幕時,應在防火幕升起狀態進行測量,防火幕無法升起時,應在測量報告中對防火幕狀態進行說明。
    帶有升降樂池的演出廳堂,應在測量報告中對樂池的狀態和樂池內裝修狀態進行說明。

3.1.2 作為施工期間進行的中後期測量,應在測量報告中詳細描述室內裝修和陳設狀況。

3.1.3 室內背景噪聲應滿足測量要求。測量期間存在偶發噪聲時,應在每次測量後立即觀察衰變曲線,並應確定衰變是否受噪聲影響。衰變期間受到偶發噪聲影響的測量結果應舍棄。

3.1.4 當室內因具有不同使用功能而采用可調混響設計時,應分別測量不同使用功能條件下的混響時間。

3.1.5 室內相對濕度大於90%時,應停止測量。遊泳館等正常使用時高潮濕的環境可不停止測量。

3.1.6 測量期間應保證室內相對濕度和溫度的穩定。當相對濕度變化超過±10%,溫度變化超過±2℃時,應停止測量。相對濕度和溫度的測量精確度應分別達到±5%和±1℃。

3.2 中斷聲源法的聲源

3.2.1 聲源應為無指向性聲源。指向性和頻率特性應符合國家標準《聲學 建築和建築構件隔聲測量 第3部分:建築構件空氣聲隔聲的實驗室測量》GB/T 19889.3-2005中第C.1.3條的規定。

3.2.2 測量過程中不得使用電火花、刺破氣球、發令槍等突發聲音作為中斷聲源法的聲源;不得使用無法立即中斷的聲源。

3.2.3 聲源的噪聲信號應采用窄帶噪聲或粉紅噪聲,在聲壓級滿足測量要求時,宜采用粉紅噪聲信號。

3.2.4 測量在使用電聲係統作為聲源條件下的室內混響時間時,可使用室內現有的擴聲係統作為替代測量聲源。

3.3 脈衝響應積分法的聲源

3.3.1 脈衝聲源應使用突發聲音。在測量頻率範圍內,傳聲器位置上脈衝聲源產生的峰值聲壓級應至少高於相應頻段內背景噪聲45dB;測量T20時,則應至少高於相應頻段內背景噪聲35dB。

3.3.2 脈衝聲的脈衝寬度應足夠小,應保證聲音在該寬度時間內傳播的距離小於房間長、寬、高中最小尺寸的1/2。

3.3.3 測量聲源信號可使用揚聲器發出的最大長度脈衝序列信號、線性調頻信號。揚聲器指向性和頻率特性應符合國家標準《聲學 建築和建築構件隔聲測量 第3部分:建築構件空氣聲隔聲的實驗室測量》GB/T 19889.3-2005中第C.1.3條的規定。

3.4 傳聲器和濾波器

3.4.1 混響時間測試應使用全指向性傳聲器,直徑不宜大於13mm。當傳聲器為壓力場響應型或已配置平直頻率響應無規入射校正器的自由場響應型時,其直徑可放寬至26mm。傳聲器應符合現行國家標準《電聲學 聲級計 第1部分:規範》GB/T 3785.1-2010中1型的規定。

3.4.2 濾波器可使用模擬濾波器或數字濾波器,倍頻程或1/3倍頻程的頻帶要求,應符合現行國家標準《電聲學 倍頻程和分數倍頻程濾波器》GB/T 3241的有關規定。

3.4.3 測量用濾波器應符合下列要求:
    1 中斷聲源法,B·T>8且T>Tdet;
    2 脈衝響應積分法B·T>4且T>Tdet/4。
    注:T為測量的混響時間,B為濾波器帶寬,Tdet為濾波器和測量係統電混響時間。

3.5 聲記錄設備

3.5.1 聲衰變過程或脈衝響應,可采用模擬型或數字型聲記錄設備記錄。

3.5.2 聲記錄設備應完整記錄聲衰變過程和脈衝響應,衰變前和結束後多記錄的時間,均不宜少於2s。

3.5.3 聲記錄設備不得使用有任何自動增益控製或其他抑製信噪比的電子控製。采用數字聲記錄設備,應是對聲壓變化曲線直接采樣後的數據,不得采用任何壓縮編碼處理器。

3.5.4 聲記錄設備在測量的頻帶內頻率特性容差不應超過±3dB。

3.5.5 在每個被測頻帶,聲記錄設備的動態範圍內應大於50dB。

3.5.6 聲記錄設備回放速度應等於記錄速度,誤差為±2%以內。

3.6 聲級計和聲壓級記錄儀

3.6.1 使用中斷聲源法測量時,應將傳聲器接收的或聲記錄設備回放的電信號經濾波後傳入聲級計或傳入聲壓級記錄儀,進而得到聲壓級衰變曲線。使用脈衝響應積分法測量時,應將傳聲器接收的或聲記錄設備回放的電信號經濾波後得到的脈衝響應聲壓曲線,再進行平方積分後得到聲壓級衰變曲線。

3.6.2 聲壓級衰變曲線的記錄方式可為記錄儀繪製的連續曲線,也可為數字化聲級計記錄的一係列離散采樣點。聲級計和聲壓級記錄儀的時間常數應小於且接近於在測量頻帶範圍內混響時間的1/20,且不應大於0.25s。記錄聲壓級離散點采樣的數字設備,各點時間間隔應小於聲級計時間常數的1.5倍。測量時,記錄設備應隨時進行時間刻度調整,視覺上衰變曲線斜率宜為45°。

3.6.3 中斷聲源法測量時,宜把聲級計時間常數設成不同的值以適應不同頻帶。采用粉紅噪聲源通過濾波同時獲取各頻帶的聲壓級衰變曲線時,時間常數和采樣間隔的確定應以測量頻帶範圍內最短的混響時間為準。

3.6.4 聲級計或聲壓級記錄儀應具有信號過載指示。

.

4 測量方法


4.1 測量頻率

4.1.1 測量混響時間的頻率應符合下列規定:
    1 不應少於125Hz、250Hz、500Hz、1000Hz、2000Hz、4000Hz等倍頻程中心頻率。
    2 作為文藝演出類廳堂、電影院音質驗收時,宜加測倍頻程中心頻率63Hz和8000Hz。

4.1.2 采用1/3倍頻程測量混響時間時,不宜少於100Hz、125Hz、160Hz、200Hz、250Hz、315Hz、400Hz、500Hz、630Hz、800Hz、1000Hz、1250Hz、1600Hz、2000Hz、2500Hz、3150Hz、4000Hz、5000Hz等1/3倍頻程中心頻率。

4.2 聲源位置

4.2.1 用於降噪計算和擴聲係統計算的混響時間測量時,聲源應選擇有代表性的位置,並應在檢測報告中說明聲源位置。

4.2.2 用於演出型廳堂音質驗收的混響時間測量時,在有大幕的鏡框式舞台上,聲源位置應選擇在舞台中軸線大幕線後3m、距地麵1.5m處;在非鏡框式或無大幕的舞台上,聲源位置應選擇在舞台中央、距地麵1.5m處。在舞台區域和演奏者可能出現的區域,宜增加其他聲源的位置。不同聲源位置間距不宜小於3m。舞台防火幕不能升起時,可將聲源移至觀眾廳一側,聲源中心位置應選擇在舞台中軸線距防火幕大於1.5m處,並應在報告中說明聲源位置。

4.2.3 用於非表演型且無舞台的房間為音質考察而進行混響時間測量時,聲源宜置於房間的某頂角,且距離三個界麵均宜大於0.5m。

4.2.4 用於在线免费观看羞羞视频館混響時間驗收測量時,聲源宜置於場內中央、距地麵1.5m處;用於測量電聲係統時,應采用場內擴聲係統揚聲器作為替代聲源,揚聲器工況要求應處於正常使用狀態或比賽使用狀態。

4.3 傳聲器位置

4.3.1 傳聲器應根據聽眾的耳朵高度確定,宜置於地麵以上1.2m處。出現前排座椅遮擋傳聲器時,可將傳聲器升高至高於前排椅背0.15m的位置,但報告中應說明傳聲器的高度。

4.3.2 用於降噪計算和擴聲係統計算的混響時間測量時,應在房間人員主要活動區域或聽眾區域均勻布置傳聲器測點,應至少選擇3個位置。

4.3.3 用於演出型廳堂音質驗收的混響時間測量時,傳聲器位置宜在聽眾區域均勻布置。房間平麵為軸對稱型且房間內表麵裝修及聲學構造沿軸向對稱時,傳聲器位置可在觀眾區域偏離縱向中心線1.5m的縱軸上及一側內的半場中選取。一層池座滿場時不應少於3個,空場時不應少於5個,並應包括池座前部1/3區域、眺台下和邊側的座席;每層樓座區域的測點,不宜少於2個;舞台上測點不宜少於2個(圖4.3.3)。房間為非軸對稱型時,測點宜相應增加一倍。

1室內混響時間測量規範 GB/T50076-2013

4.3.4 用於非表演型且無舞台的房間,對其音質作考察而進行混響時間測量時,傳聲器測點位置宜置於與聲源所在房間對角線交叉的另一條對角線上,應至少3個位置,並應均勻布置(圖4.3.4)。房間尺寸較小,且無法滿足本規範第4.3.6條的規定時,可減少傳聲器測點數量。

2室內混響時間測量規範 GB/T50076-2013

4.3.5 用於在线免费观看羞羞视频館混響指標驗收測量,房間為軸對稱型時,可選擇在對稱象限內的觀眾區布置傳聲器位置,滿場時不宜少於6個,空場時不宜少於9個,並應均勻布置;房間為非軸對稱型時,測點宜按倍數相應增加。

4.3.6 傳聲器位置的最小間距不宜小於2m,從傳聲器至最近反射麵的距離不宜小於1.2m。

4.3.7 傳聲器位置不宜靠近聲源,最小距離dmin可按下式計算:

3室內混響時間測量規範 GB/T50076-2013

式中:dmin——傳聲器與聲源最小距離,m;
           V——房間容積,m³;
           c——聲速,m/s;
           T——估計混響時間,s。

4.3.8 混響時間短的小房間,且無法滿足本規範第4.3.7條的規定時,在聲源和傳聲器之間應設置屏障消除直達聲,屏障密度宜大於5kg/㎡,表麵吸聲係數宜小於0.1,麵積宜大於1.5㎡。

4.4 脈衝響應積分法獲得衰變曲線

4.4.1 測量聲源可使用脈衝聲源發聲、使用傳聲器接收,直接獲得脈衝響應;也可使用揚聲器發出最大長度序列信號、線性調頻信號等,使用傳聲器接收,通過相關運算獲得脈衝響應。

4.4.2 脈衝響應通過帶通濾波器,平方後反向積分得出各個頻帶的衰變曲線。在背景噪聲極低時,混響衰變曲線應按下式計算:

4室內混響時間測量規範 GB/T50076-2013

式中:p——脈衝響應聲壓。

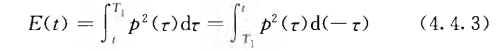
4.4.3 存在背景噪聲,且脈衝峰值聲壓級超過背景噪聲基線大於等於50dB以上時,可不計背景噪聲的影響,反向積分的起始點可設在脈衝響應聲壓級曲線高於背景噪聲基線15dB處。混響衰變曲線可按下式計算:

5室內混響時間測量規範 GB/T50076-2013

式中:T1——脈衝響應聲壓級曲線高於背景噪聲基線15dB處的時刻,t<T1。

4.4.4 脈衝峰值聲壓級超過背景噪聲基線小於50dB以下,且背景噪聲基線聲壓級已知時,應以背景噪聲基線和脈衝響應聲壓級衰變曲線的交點作為反向積分的起始點,混響衰變曲線可按下式計算:

6室內混響時間測量規範 GB/T50076-2013

式中:t1——背景噪聲基線和脈衝響應聲壓級衰變曲線交點處的時刻,t<t1;
          C——去除噪聲幹擾的真實脈衝響應平方值從無窮大到t1的積分。

4.4.5 在背景噪聲級未知時,可使用一個可變的修正積分時間對脈衝響應的平方進行反向積分,修正積分時間可取混響時間估值的1/5,可按下式計算:

7室內混響時間測量規範 GB/T50076-2013

式中:T0——修正積分時間。

4.4.6 每個測點位置可測量一次,結果對多個測點的混響時間應取算術平均值。

4.5 中斷聲源法獲得衰變曲線

4.5.1 中斷聲源法應使用揚聲器發出窄帶噪聲信號或粉紅噪聲信號激勵房間待聲場穩定後突然中斷,應使用具有記錄功能的聲級計或聲記錄設備直接獲得聲壓級衰變曲線。

4.5.2 容積為15000m³以下的房間,聲源持續時間應大於4s。15000m³以上的房間,聲源持續時間應大於6s。

4.5.3 每個測量位置應測量三次,宜測量六次,應取混響時間的算術平均值。

4.6 使用衰變曲線計算混響時間

4.6.1 在衰變曲線衰變範圍內,應畫一條與其重合的直線。

4.6.2 作為混響時間的測量結果時,應計算T30,條件不許可時,可計算T20作為混響時間的替代測量結果,並應在測量報告中進行說明。

4.6.3 衰變曲線起始部分應高於背景噪聲的水平。計算T20時,噪聲水平應至少低於曲線的起始點35dB;計算T30時,噪聲水平應至少低於起始點45dB。衰變曲線末端應至少高於背景噪聲10dB。

4.6.4 當衰變曲線不呈直線形狀而呈兩段折線時,應建立一個適當的拐點連接兩段軌跡(圖4.6.4),應計算上下兩段的斜率進而推算各自的混響時間,並應在報告中指明其動態區間。用於求斜率的A動態區間和B動態區間聲壓級衰變量不應少於10dB。

9室內混響時間測量規範 GB/T50076-2013

4.7 空間平均

4.7.1 空間平均的方法應為各測點測量值的算術平均。

4.7.2 普通矩形房間,應對所有聲源和傳聲器測量位置所得到的測量結果進行平均計算。計算結果應作為該房間的平均混響時間。

4.7.3 劇場、多功能廳等存在舞台或樓座的空間,宜分別對舞台、一層觀眾席(池座)、各層樓座所布置的測點分別進行平均計算。計算結果應作為各區域的空間平均混響時間。

4.7.4 測量原始記錄應精確到小數點後兩位數字。作為測量結果的平均值應四舍五入,小於等於1s時,應取小數點後2位數字;大於1s時,應取小數點後1位數字。

.

5 結果的表達


5.1 圖表及曲線

5.1.1 每個測量位置及各測量中心頻率的混響時間的多次測量結果平均值,應使用表格列出,不同區域應單獨列表,並應同時列出其空間平均值。測量結果列表應符合表5.1.1的規定。

10室內混響時間測量規範 GB/T50076-2013

5.1.2 每個區域空間平均混響時間頻率響應應通過曲線圖繪製(圖5.1.2)。

11室內混響時間測量規範 GB/T50076-2013

5.1.3 繪製曲線圖時,各個點應用直線連接。橫坐標應為倍頻程線性坐標,每個倍頻程的距離宜為15mm,同時縱坐標宜使用每25mm相當於1s的線性時間坐標。在橫坐標上應注明倍頻程或1/3倍頻程的中心頻率。

5.1.4 具有兩種或兩種以上有聲學條件變化的使用狀態(包括可調混響設施)的房間,應將各種狀態下的測量結果分別計算和表達。

5.2 檢測報告

5.2.1 在檢測報告中,應說明所依據的國家標準,並應符合本規範第5.2.2~5.2.15條的規定。

5.2.2 在檢測報告中應注明測量房間的名稱及地址。

5.2.3 在檢測報告中應注明房間平麵、剖麵等示意圖,並應包括聲源、傳聲器位置。

5.2.4 在檢測報告中應給出房間容積,房間不封閉時,應對房間的容積的定義進行說明。

5.2.5 對於有聽眾座椅的房間,應標明座椅的數量和類型。

5.2.6 在檢測報告中應有房間牆麵和頂棚的形式和材質的描述。

5.2.7 劇場、音樂廳、多功能廳以及報告廳等房間的檢測報告,應對測量時彩排、空場、滿場及在場觀眾的數量、演奏台和樂器布置狀況進行相應說明。

5.2.8 在檢測報告中應說明是否有可變混響設備、可變吸聲裝置、電子混響增強係統等。

5.2.9 在檢測報告中應說明成人羞羞国产视频防火簾幕和裝飾簾幕升起或降下狀態。

5.2.10 使用室內現有的擴聲係統作為替代測量聲源測量電聲係統聲源條件下的室內混響時間時,在測量報告中應包括下列內容:
    1 測量信號係統與擴聲係統的連接;
    2 擴聲係統是否含有何種有源電子混響效果設備;
    3 發聲揚聲器的布置圖。

5.2.11 在檢測報告中應說明是否有樂池的升降、是否有音樂反射罩等舞台陳設。

5.2.12 在檢測報告中應記錄測量期間房間的溫度和相對濕度。

5.2.13 在檢測報告中應對聲源的類型進行說明。

5.2.14 在檢測報告中應說明所使用的聲源信號。

5.2.15 在檢測報告中應說明所使用的測量儀器及測量框圖。

5.2.16 在檢測報告中應說明測量機構的名稱、測量人員和測量日期。

本規範用詞說明

1 為便於在執行本規範條文時區別對待,對要求嚴格程度不同的用詞說明如下:
    1)表示很嚴格,非這樣做不可的用詞:
      正麵詞采用“必須”,反麵詞采用“嚴禁”;
    2)表示嚴格,在正常情況均應這樣做的用詞:
      正麵詞采用“應”,反麵詞采用“不應”或“不得”;
    3)表示允許稍有選擇,在條件許可時首先應這樣做的用詞:
      正麵詞采用“宜”,反麵詞采用“不宜”;
    4)表示有選擇,在一定條件下可以這樣做的用詞,采用“可”。

2 條文中指明應按其他有關標準執行的寫法為:“應符合……的規定”或“應按……執行”。


  因篇幅有限請到資料下載   下載完整文件。

  還可以了解更多關於會議室解決方案、產品和案例 等信息。

  還可以了解更多關於在线免费观看羞羞视频場館解決方案、產品和案例 等信息。

  還可以了解更多關於劇場成人羞羞国产视频解決方案、產品和案例 等信息。

還可以了解更多關於學校教育   解決方案、產品和案例   等信息。


網站地圖