400-003-8066

羞羞APP大全案例分析

您所在的位置: 首頁 > 資訊頻道 > 技術支持 > 技術文章 > 淺談戲曲的劇場聲學設計

淺談戲曲的劇場聲學設計

來源:ZOBO羞羞APP大全 發布日期 2023-03-13 瀏覽:

  基於戲曲表演的聲學要求,闡述了用於戲曲表演劇場的聲學特征,通過體型、揚聲器係統 的設計及實施,滿足戲曲演出的聲學環境。

淺談戲曲的劇場聲學設計

  一、戲曲劇場的聲學特征及要求

  要做好戲曲劇場的聲學設計,必須了解戲曲表演的聲學特征及其對劇場的聲學要求。

  1.1聲源特點

  戲曲表演的聲源主要由演員人聲(唱腔和念白)、樂隊伴奏聲及音效三大部分組成。其中,人聲是說唱結合,包括地方方言,這是戲曲與其他音樂門類在風格上相區別的重要特征。這類劇場的混響時間既要照顧到念白的清晰,又要兼顧到演唱和配樂的豐滿。演員人聲與樂隊器樂伴奏聲依藝術表演需要,以表演唱腔為主,伴奏為輔,因此,羞羞漫画官网設計與調音需要滿足音樂和形體節奏互為作用的效果,掌握好各聲部拾音與合適的混合比。如打擊樂聲對演員形體節奏表演可以起到渲染烘托的效果,武打群舞演員表現兩軍交戰、衝鋒陷陣、翻騰跌撲時,清晰響亮的鑼鼓點子聲起到整齊統一的作用。

  1.2聲源位置的變化

  在做劇場體型設計時,需要依據表演形式確定自然聲源的位置,從而使觀眾席獲取充分的早期反射聲。早期的戲曲表演,人聲、伴奏樂隊均來自舞台,但隨著戲曲藝術表演的發展,因大量布景需要占用側台空間,伴奏樂隊被安排在樂池內。聲源的分布發生了變化,因此,在做建聲的聲線分析時需考慮這一因素的影響。

  1.3舞台與觀眾廳的關係

  不同功能劇場的混響時間,GB/T50356—2005《劇場、電影院和多功能廳堂建築聲學設計規範》(以下簡稱GB/T50356—2005)中均有規定,詳見圖2、圖3,以戲曲功能為主的劇場,在相同容積下,其觀眾廳混響時間較其它功能劇場低。同時,舞台建設依據JGJ57—2016《劇場建築設計規範》,台口和主舞台尺度如表2,舞台的空間通常比較大。因此,大空間的舞台與規模不大的觀眾廳的聲耦合,也是聲學設計中需要考慮的問題。

2淺談戲曲的劇場聲學設計

3淺談戲曲的劇場聲學設計

  1.4避免聲反饋的產生

  無論建聲設計還是擴聲設計,觀眾席特別是關鍵區域的直達聲和近次反射聲是重點分析的要素。在這一過程中,對於樂池中伴奏的拾音,處於揚聲器覆蓋區或邊緣上,需要避免聲反饋的產生。特別是在有些劇場,為了獲得較好的聲場均勻度,采用揚聲器的垂直覆蓋角度會稍大一點。有些情況下,為了照顧特殊區域的聽聲效果,擴聲係統 安裝調試時,在垂直方向上調整揚聲器的傾角,使其聲軸稍向特殊區域傾斜。在這種情況下,樂池內分布的大量傳聲器很有可能會因避免產生聲反饋而降低傳聲增益,從而影響演出擴聲效果。

  二、主要聲學問題的解決方案

  以上簡單分析了用於戲曲表演劇場的主要聲學特點,在聲學設計時即可有針對性地設計解決方案。

  2.1劇場的體型設計

  戲曲劇場的建聲設計應明確以自然聲為主的方法來設計。因此,其建聲設計除混響時間及其頻率特性設計外,需合理進行體型設計,充分利用直達聲及早期反射聲,這不僅可以增加響度和念白的清晰度,還可增加聲音的親切感、空間感。

  室內聲學的研究表明,早期反射聲對提高音質的空間感有較好效果,這就涉及到兩側八字牆、天花板的設計,並確定聲源的位置。按GB/T50356—2005,“聲源位置通常取大幕中心線的中點,離舞台麵高1.5米處”。即使樂池升起後形成伸出式舞台,也不宜將聲源點向台口外移,聲源位置仍按鏡框式舞台來確定。聲源通過特定體型的台口天花板(聲橋至麵光口)、八字牆,使近次反射聲均勻覆蓋觀眾區。該劇場聲源到第1排的直達聲聲程(6m)與到達第1排的反射聲程(8.5m+11.3m)小於17m,不會產生回聲。

  需要注意的是,初步按此確定台口天花板反射麵後,還要適當調整此麵,盡可能兼顧近次反射聲對樂池的覆蓋。當然還可利用樂池的某些壁麵作反射麵,如圖4所示。

4淺談戲曲的劇場聲學設計

  圖4樂池壁麵與樂池上天棚的聲反射麵做法

  若將聲源位置按樂池作為伸出式舞台,移向升降台口線上,按原聲源位置的體型設計會產生反射聲落在聲源附近並進入舞台,在前區觀眾席會產生回聲等聲學缺陷。若要改善這一現象,從揚聲器口後至麵光口處的天花板要向上翹起,如圖5所示。

淺談戲曲的劇場聲學設計

  圖5伸出式舞台剖麵聲線圖

  綜上分析,依據該劇場特點進行體型設計時,聲源點位置仍定在台口線中點1.5m高處,主要措施如下。

  (1)充分利用直達聲

  一是利用觀眾席起坡,使直達聲均勻覆蓋觀眾區,避免聲遮擋現象;二是控製樓座眺台下開口的深高比,使台口上方主揚聲器的直達聲直接向樓下觀眾區輻射;三是嚴格控製麵光口、耳光口的麵積,以減少對直達聲能的損耗。

  (2)盡可能獲取更多近次反射聲

  在避免出現回聲的前提下,通過調整天花板的高度及形狀,獲得近次反射聲麵,反射聲延時控製在35ms內。同時,通過調整台口兩側八字牆的形狀,也使觀眾席獲得較均勻的早期側向反射聲。

  2.2聲耦合的控製

  對於較小規模、較低混響時間的戲劇表演劇場,為了減小舞台與觀眾廳聲耦合帶來對觀眾廳音質的損害,GB/T50356—2005中有明確的規定:舞台空間應進行適當吸聲處理。大幕下落及常用舞台設置條件下舞台空間的中頻(500~1000Hz)混響時間不宜超過觀眾廳空場混響時間。所以,劇場建聲設計時,要求舞台空間混響時間與大廳空場混響時間相同。

  當然,眺台下空間與觀眾廳池座區的聲耦合也需引起注意,這裏主要是依照聲學設計規範掌握好開口的深高比。

  2.3揚聲器係統的設計及調試

  傳聲增益是擴聲係統為重要的聲學指標,是指係統達到高可用增益(臨界增益減去6dB增益裕量)時,在指定的各聽眾位置上測得的平均聲壓與傳聲器處聲壓的dB數差值。

  傳聲增益,針對劇場的實際,進行了相應的變換,對照圖6說明如下。

6淺談戲曲的劇場聲學設計

  圖6劇場樂池拾音狀態下的傳聲增益分析示意圖

7淺談戲曲的劇場聲學設計

  其中,ψ是揚聲器聲軸與傳聲器間的偏角,ψ1是伴奏樂隊在下場門台口右側時的偏角,ψ2是伴奏樂隊在樂池時的偏角;D1是揚聲器與傳聲器間的距離;θ是揚聲器聲軸線與揚聲器向指定聽眾輻射聲線所構成的偏角,D2是揚聲器與指定某聽眾間的距離;γ是揚聲器向傳聲器方向輻射聲線與傳聲器聲軸的夾角,γ1是伴奏樂隊在下場門台口右側時揚聲器向傳聲器方向輻射聲線與傳聲器聲軸的夾角,γ2是伴奏樂隊在樂池時揚聲器向傳聲器方向輻射聲線與傳聲器聲軸的夾角。

  Q是表示為距聲源較遠的某點聲壓/同點同功率的無指向性的聲源的聲壓:

8淺談戲曲的劇場聲學設計

  其中,α、β分別是揚聲器的水平、垂直覆蓋角(-6dB)。

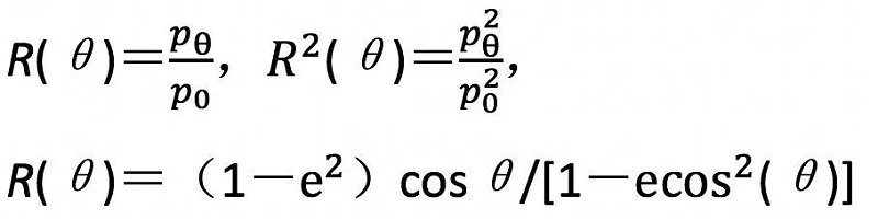
  R2(θ)、R2(ψ)是揚聲器指向性函數,RM2(γ)、QM分別是傳聲器指向性函數和指向性因素。

  指向性函數的定義為:當聲源指向性因素為Q,在偏聲軸θ角方向距聲源為r處的有效聲壓pθ與聲軸方向距聲源為r處的有效聲壓p0之比值,即:

9淺談戲曲的劇場聲學設計

  由上式可以得到以下結論。

  (1)當采用強指向性傳聲器拾音時,揚聲器向傳聲器方向的輻射聲線與傳聲器聲軸的夾角(γ)越大,其傳聲增益因此而產生的附加貢獻值就越大。主擴揚聲器置於台口聲橋上,當樂隊伴奏從舞台上移到樂池,ψ變小,R2(ψ)值便變大,這就使伴奏樂隊傳聲增益隨之減小。為此,必須控製揚聲器垂直覆蓋,讓其遠離樂池。

  (2)揚聲器向傳聲器輻射聲線與揚聲器聲軸的夾角(ψ)越大,其R(ψ)越小,傳聲增益越大。這說明,揚聲器垂直方向角越大其傳聲增益隻會隨之降低。為此在滿足聲場均勻度的前提下,揚聲器垂直方向角不宜偏大。由此,對於該劇場的擴聲,除選擇強指向性傳聲器外,還需依劇場觀眾廳實際,選擇合適垂直指向角的揚聲器,避免覆蓋到樂池。在安裝調整揚聲器時,其聲軸不宜為照顧特殊區域而靠前,宜靠後,即指向觀眾廳長度的2/3處。

  劇場擴聲主揚聲器聲線圖如圖7所示。依據上述理論設計揚聲器係統,計算過程及結果如表3所示,包括揚聲器的垂直方向角、水平方向角和大聲壓等參數的選取。

10淺談戲曲的劇場聲學設計

  圖7劇場主揚聲器聲線圖

  此外,在現場調音時,也可采用以下辦法提高伴奏樂隊拾音的傳聲增益。

  (1)適當調整樂隊傳聲器與揚聲器的距離。因各傳聲器間音質與靈敏度參差不齊,對幾個高靈敏度並靠近揚聲器的傳聲器調整擺放角度與距離等,解決部分回授的問題。

  (2)樂隊拾音傳聲器綜合各種因素,部分傳聲器選擇強指向性,減小傳聲器之間的聲幹涉,提高樂器拾音清晰度,從而達到提升伴奏樂隊整體傳聲增益。

  (3)在舞台台唇前沿增設一套台唇補聲係統,重新布置調整羞羞漫画官网覆蓋範圍。即把影響聲反饋的主揚聲器聲軸向觀眾廳後調,用增設的補聲揚聲器在舞台台唇處向觀眾前區補聲;並對兩套係統進行整體平衡互補調整,既保證了貴賓席上的聲音效果,又獲取了較大傳聲增益,取得了不錯的演出效果。

  以上簡單地分析了以戲曲功能為主的劇場的聲學特點,應用有效的聲學技術手段提供適合戲曲演出的聲學環境,使聲音達到劇情的要求與場景的需要,以取得較好的藝術效果並增強藝術感染力。隨著技術的進步,更多的新技術、新設備用於劇場的聲學建設,如電子聲學增強係統(或謂可變混響係統)。通過電聲聲場控製技術來控製室內的混響時間和頻率特性,不僅可以實現混響時間可變,而且還可以對室內聲場進行“修正或優化”,如增加近次反射聲、聲擴散,調整直達聲、反射聲和混響能量至比例,以及對混響時間頻率特性進行調整等,從而滿足不同劇目劇情的聲效實時調整的需求。

  作為聲學工作者,需要不斷學習,提供戲曲表演專業的聲學環境,使觀眾獲得“聽戲”的藝術享受。

相關話題

網站地圖