400-003-8066

羞羞APP大全案例分析

您所在的位置: 首頁 > 資訊頻道 > 技術支持 > 技術文章 > 旅遊劇場成人羞羞国产视频聲學設計初探——以炎帝大成人羞羞国产视频為例

旅遊劇場成人羞羞国产视频聲學設計初探——以炎帝大成人羞羞国产视频為例

來源:ZOBO羞羞APP大全 發布日期 2023-02-20 瀏覽:

  還可以了解更多關於會議室解決方案、產品和案例  等信息。

  還可以了解更多關於在线免费观看羞羞视频場館解決方案、產品和案例 等信息。

  還可以了解更多關於劇場成人羞羞国产视频解決方案、產品和案例 等信息。

  還可以了解更多關於學校教育    解決方案、產品和案例    等信息。



  旅遊劇場的建築聲學設計往往得不到應有重視,導致劇場內音質不佳,影響觀演效果。本文以神農架景區炎帝大成人羞羞国产视频為例,從建築聲學設計、計算機仿真模擬和實測結果進行分析,給旅遊劇場的聲學設計提供一些參考。

旅遊劇場成人羞羞国产视频聲學設計初探

  一、引言

  隨著旅遊產業的發展,旅遊演藝成為其中不可或缺的內容。諸多旅遊景區、主題樂園內紛紛設置以遊客為主體觀眾的各種類型的劇場。文化行業標準WH/T 59 《演出場館設備技術術語 劇場》將這類劇場定義為旅遊劇場(或遊樂劇場)。

  旅遊劇場的演出富有旅遊景區的特色或者切合主題樂園的主題需要,演出類型多樣,如舞蹈、音樂、雜技、戲曲、多媒體及新科技手段演示等,大多數是專劇專演,長年演出較為固定的劇目。旅遊劇場的投資往往沒有專業劇場投資高,並且大部分的投資用於舞台燈光、視頻和聲效,而對於建築聲學設計不太重視,導致不能達到很好的音質效果。筆者以神農架景區炎帝大成人羞羞国产视频為例,提出建築聲學設計要點,為旅遊劇場聲學設計提供參考。

  二、劇場概況

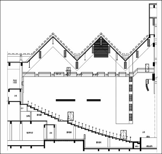
  炎帝大成人羞羞国产视频是為《神農秘境》劇目而建設,以反映當地的自然風光、風土人情和擴大當地旅遊影響力為主要目的。劇場內的建築、裝飾風格和舞台工藝都圍繞劇情設計。舞台和觀眾廳有關參數見表1、表2。劇場平剖麵圖見圖1、圖2。

1旅遊劇場成人羞羞国产视频聲學設計初探——以炎帝大成人羞羞国产视频為例

2旅遊劇場成人羞羞国产视频聲學設計初探——以炎帝大成人羞羞国产视频為例

圖1 炎帝大成人羞羞国产视频平麵圖

3圖1 炎帝大成人羞羞国产视频平麵圖

圖2 炎帝大成人羞羞国产视频剖麵圖

  三、建築聲學設計

  1、建築聲學設計要點

  由於旅遊劇場以擴聲使用為主,因此建築聲學設計主要是為擴聲的使用提供良好的先天條件。建築聲學設計要點主要是:1)控製合適的混響時間和背景噪聲限值;2)觀眾廳內不出現回聲、顫動回聲和聲聚焦等音質缺陷。

  炎帝大成人羞羞国产视频建築特點:1)觀眾廳未設置樓座,從表2可以看出,觀眾廳縱向長度、橫向寬度和室內淨高都偏大。而劇場合適的縱向長度≤30 m,橫向寬度≤17 m,室內淨高 ≤8.5 m。過寬、過高的體型容易導致側牆麵和頂麵的反射聲線形成回聲,因此,側牆和頂麵應考慮吸聲或者擴散構造。2)觀眾廳未設置吊頂。考慮表演和觀眾的互動氛圍,廳內設置威亞,方便雜技演員在觀眾廳內表演,如此導致觀眾廳內每座容積偏大於正常值一倍。這對控製混響時間及其頻率特性的難度加大,特別是低頻混響時間難以控製。並且觀眾廳需要布置較多吸聲材料,大地增加聲學相關工程造價。3)舞台空間較大。由於劇場有多個場景切換,演員數量較多,如此會導致舞台的空調送風距離較遠且舞台的空調噪聲偏高,空調的氣流噪聲控製難度大。主舞台空調噪聲過大會影響觀眾席前區觀眾觀演。

  2、聲學設計指標

  由於劇場以擴聲係統使用為主,為保證擴聲的效果,觀眾廳中頻混響時間設計值略低,頻率特性良好,廳內無聲缺陷現象。確定的主要建聲設計技術指標如表3所示。

4圖1 炎帝大成人羞羞国产视频平麵圖

  3、音質設計

  (1)體型設計

  劇場平麵為鍾形平麵,台口側牆根據聲學要求設置成凸弧形擴散構造,一是使側向反射聲的延遲時間較短;二是增加擴散度。根據劇情需要,舞美專業在台口側牆設置大量凹凸假山造型,假山造型麵積約占馬道以下側牆麵的三分之二。為使假山造型起到擴散效果,聲學提供假山造型的擴散突出和寬度尺度要求,並提出麵密度大於40 kg/m2的要求。

  觀眾廳由於未設置吊頂,結構頂較高(超過20 m),頂麵的反射聲易形成回聲。另外,觀眾廳的馬道底部為鋼板硬反射麵,因此利用馬道底部和容易產生不利聲反射的頂麵設置鋁板網吸聲構造,考慮增加構造的低頻吸聲性能,采用100 mm厚,容重48 kg/m3的憎水玻璃棉包裹黑色玻纖布。

  (2)混響時間控製

  觀眾廳混響時間設計指標是按照多用途劇場確定為中頻(500 Hz、1 000 Hz)1.3 s。後期隨著劇場的演出形式明確,擴聲係統除了采用線陣列揚聲器,還在側牆、後牆增加了若幹效果聲全頻揚聲器,為保證擴聲係統的還音效果,混響時間設計指標按照多用途劇場低限考慮,調整混響時間為中頻(500 Hz、1 000 Hz)1.1 s。

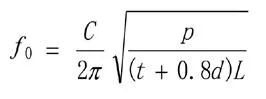
  根據表2,劇場的每座容積偏大許多,低頻(125 Hz、250 Hz)混響時間控製比較困難。采用低頻吸聲特性較優越的防火穿孔板,根據共振頻率公式計算,確定共振頻率在低頻125 Hz~250 Hz的穿孔吸聲構造,穿孔率不大於 5 % ,板後空腔不小於150mm,經計算防火穿孔板共振頻率在200 Hz,較好地解決了低頻混響時間偏長的問題。另外,低頻聲無指向性,低頻吸聲防火穿孔板設置在觀眾廳側牆後區和馬道以上的台口牆麵。

5圖1 炎帝大成人羞羞国产视频平麵圖  (1)

  式中:

  L——板後空腔深度(mm);

  t——板的厚度(mm);

  d——孔徑(mm);

  C——聲速(mm/s);

  P——穿孔率(穿孔麵積/全麵積×)。

  觀眾廳後牆為主揚聲器朝向的牆麵,後牆的不利聲反射會在觀眾廳前區、舞台形成回聲。觀眾廳後牆采用穿孔率大於20%的穿孔鋁板強吸聲構造。觀眾廳平均自由程大,頂部吸聲材料的吸聲效率較低,且距離聲源越遠效率越低,因此,頂部吸聲材料設置在馬道底部,盡量靠近主揚聲器。觀眾廳的頂板為多個坡屋頂連續的造型,朝向舞台的頂麵容易產生不利聲反射返回至舞台,形成回聲。綜合吸聲特性、施工的便易性和經濟性,采用25 mm有機纖維吸聲噴塗,吸聲噴塗容重不小於50 kg/m3。

  (3)舞台音質設計

  舞台和觀眾廳形成耦合空間,舞台空間的長混響對觀眾廳會造成不利聲耦合,因此舞台采取強吸聲措施,舞台混響時間應盡量和觀眾廳保持一致。炎帝大成人羞羞国产视频較其他類型劇場大不相同,舞台上除大幕外,天幕、邊幕、簷幕等均采用LED大屏代替。幕布具有中高頻吸聲特性,而LED屏幾乎為反射麵,因此,不能隻是在主舞台局部牆麵做吸聲處理,需要舞台的所有牆麵采用強吸聲構造。牆麵3 m以下采用防撞木絲吸音板,3 m 以上采用穿孔 FC 板,穿孔率 18 . 5% ,板後預留空腔150 mm ,空腔內填充50 mm厚,容重48 kg/m3玻璃棉,玻璃棉包裹無紡吸音布。

  (4)噪聲控製設計

  a、觀眾廳

  觀眾廳采用座椅下送風,廳內能較好地控製送風氣流噪聲。觀眾廳回風口設置在觀眾廳側牆標高5 m的位置,尺寸為5 m×0.5 m,百葉片長度超過2 m,回風口風速較低,不超過4 m/s,氣流噪聲控製較好。回風口的產品質量也會影響風口噪聲,百葉片厚度太薄,會導致葉片抖動輻射噪聲,因此,聲學要求鋁百葉風口的葉片厚度不小於2 mm。另外,由於空調機房設置在三層,並且均未緊鄰觀眾廳,觀眾廳送、回風管段均經過較長管段衰減,並且回風管設置了多個消聲彎頭,風機運行的噪聲經管段衰減至回風口經消聲計算滿足觀眾廳內背景噪聲限值要求。

  b、舞台

  主舞台送、回風口噪聲為舞台主要噪聲源。舞台台口高度10 m,主舞台寬度35.6 m,深度24.7 m,主舞台送風口距離地麵約12.8 m,送風口為噴口。由於送風管經過較長距離和多個彎頭的自然衰減作用,再加上房間的吸聲衰減作用,即便是送風噴口風速7.4 m/s,終疊加的氣流噪聲值較低,也能滿足背景噪聲限值要求。

  側舞台和後舞台風口距離主舞台演出區域較遠,並且舞台內設置大量吸聲材料,經計算,側舞台和後舞台風口噪聲衰減至主舞台區域時,各個頻率均衰減20 dB以上,因此,側舞台和後舞台的風口噪聲對主舞台和觀眾廳幾乎不會造成噪聲影響。

  過渡季節排風機的噪聲則可以通過設置片式消聲器和消聲彎頭使風機運行噪聲沿管段衰減後滿足舞台背景噪聲限值要求。

  四、計算機模擬分析

  根據計算機1:1仿真模擬,觀眾廳的三維模型和音質模擬結果如下:

  根據劇場的平剖麵圖建立觀眾廳的三維聲學模型,共有4 604個包絡麵圍成,見圖3。

6圖1 炎帝大成人羞羞国产视频平麵圖

圖3 計算機三維聲學模型圖

  觀眾廳空場狀態下的主要聲學參量:T30雲圖見圖4、圖5,接收點反射聲序列模擬分析圖見圖6~圖9。觀眾廳平麵為左右對稱,取半場均勻布置15點,接收點布置圖見圖10。各接收點平均混響時間結果和空場計算值見圖11。

7圖1 炎帝大成人羞羞国产视频平麵圖

8圖1 炎帝大成人羞羞国产视频平麵圖

圖6 接收點R9(1 000 Hz)反射聲序列

9圖1 炎帝大成人羞羞国产视频平麵圖

圖7 接收點R10(1 000 Hz)反射聲序列

10圖1 炎帝大成人羞羞国产视频平麵圖

圖8 接收點R13(1 000 Hz)反射聲序列

11圖1 炎帝大成人羞羞国产视频平麵圖

圖9 接收點R14(1 000 Hz)反射聲序列

  從計算機仿真模擬結果可以看出,T30雲圖分布較均勻,各接收點的平均混響時間中頻(500 Hz、1 000 Hz)平均值為1.14 s,空場計算值為1.16 s,計算機模擬結果和計算結果較符合,混響時間頻率特性一致。並且從選取的接收點反射聲序列圖可以看出各點無回聲音質缺陷。

12圖1 炎帝大成人羞羞国产视频平麵圖

圖10 計算機仿真模擬接收點布置圖

13圖1 炎帝大成人羞羞国产视频平麵圖

圖11 混響時間計算機模擬值與計算值比較折現圖

  五、建聲測試結果

  劇場完工後,對觀眾廳和舞台空場狀態下進行建聲測試,各測點布置圖見圖12。

14圖1 炎帝大成人羞羞国产视频平麵圖

圖12 建聲測試測點布置圖5.1 主要建聲指標測試結果

  測試時由於條件限製,滿場狀態無法測量,考慮座椅采用的是劇場專用座椅,坐墊和靠背局部有軟墊,且座椅底板穿孔處理,座椅坐人和不坐人的測試結果差距不大,故測試空場狀態數據。混響時間測量方法采用中斷聲源法,測試聲源采用廳內揚聲器係統 ,測試信號采用粉紅噪聲,傳聲器位於距地麵1.2 m處。傳聲器位置上的峰值聲壓高於相應頻段內背景噪聲45 dB,滿足信噪比要求。混響時間和背景噪聲測量結果見圖13、圖14。

15旅遊劇場成人羞羞国产视频聲學設計初探——以炎帝大成人羞羞国产视频為例

圖13 混響時間實測與計算值比較折現圖

16旅遊劇場成人羞羞国产视频聲學設計初探——以炎帝大成人羞羞国产视频為例

圖14 背景噪聲實測與設計指標比較折現圖

5.2 建聲測試結果分析

  (1)根據現場測量結果可知,觀眾廳各頻段混響時間空場測量值與空場計算值基本接近,低頻(125 Hz、250Hz)有一定提升,高頻略有下跌,測得的低音比BR值1.26,可以看出觀眾廳混響時間及其頻率特性良好。

  (2)舞台混響時間測試值和觀眾廳相比較略偏長,中頻(500 Hz、1 000 Hz)比觀眾廳偏長約0.31 s。位於觀眾廳排座席和舞台口附近的R13~R15點測試數據並沒有比觀眾廳混響時間平均值偏長或有較大偏差。由此可見,舞台空間混響時間偏長對於觀眾廳混響時間並未造成較大影響。綜合經濟性和舞台空間的實際狀況,舞台空間的吸聲處理滿足設計和使用要求。

  (3)根據背景噪聲測試結果可以看出,在空調開啟的狀態下,觀眾廳和舞台測得的倍頻帶聲壓明顯優於設計目標NR 35噪聲評價曲線。觀眾廳背景噪聲滿足 NR 25噪聲評價曲線,舞台背景噪聲滿足NR 30噪聲評價曲線。

  炎帝大成人羞羞国产视频已經於2021年10月正式竣工首演,建設方邀請當地企業的職工、當地居民和各參建單位觀看演出,參與演出的演員和觀眾對劇場的音質十分滿意。該項目終聲學效果能夠達到甚至高於設計目標,很大程度是業主對建築聲學非常重視,聲學相關裝修采取專項分包,並且要求施工單位嚴格按照聲學顧問的設計選擇聲學材料,實施聲學構造。聲學顧問根據擴聲係統設計調整相適應的建聲設計目標。終劇場聲環境能取得較優的效果,達到各方滿意的結果。

  六、結語

  (1)旅遊劇場不同於其他類型劇場,混響時間設計指標應根據表演的形式、聲效的要求,適當降低混響時間,以保證擴聲的還音要求。

  (2)旅遊劇場聲學在做體型設計時,一般受到演出形式、舞美特殊要求的限製,往往達不到較優的體型,需要采取額外的聲學措施,避免回聲、多重回聲等音質缺陷、混響時間過長等問題。

  (3)旅遊劇場一般容積較大,吸聲材料運用量大,聲學相關工程造價較高。但遇到劇場投資有限,並且裝飾效果要求不高、業主不重視時,聲學措施的實施難度很大,常常導致觀演效果不理想。

  (4)旅遊劇場若是專劇專演,劇目的演出要求應盡早明確,聲學專業宜盡早介入,建築、舞台工藝、聲學和舞美等相關專業在方案階段充分溝通,提高各專業融合度,避免聲學專業出現無法挽回的音質缺陷。

  (5)旅遊劇場演出時氣氛熱烈,背景音樂歡快熱烈,觀眾廳內背景噪聲不影響觀眾觀看演出即可,一般可按照規範中低限選擇。

17旅遊劇場成人羞羞国产视频聲學設計初探——以炎帝大成人羞羞国产视频為例

  選自 《演藝科技》2022年第三期 饒紫雲,胡小明,王凡《旅遊劇場聲學設計初探——以炎帝大成人羞羞国产视频為例》。轉載請標注:演藝科技傳媒。更多詳細內容請參閱《演藝科技》。



  因篇幅有限請到資料下載   下載完整文件。

  還可以了解更多關於會議室解決方案、產品和案例 等信息。

  還可以了解更多關於在线免费观看羞羞视频場館解決方案、產品和案例 等信息。

  還可以了解更多關於劇場成人羞羞国产视频解決方案、產品和案例 等信息。

還可以了解更多關於學校教育   解決方案、產品和案例   等信息。



網站地圖